首页
开户交易
终端下载
App下载
电脑端下载
每日分析
财经日历
交易学堂
贵金属投资
黄金投资
伦敦金投资
关于我们
用户中心
当前位置:
首页
>
合约细则
>
数字货币
分类
商品
指数
股票
外汇
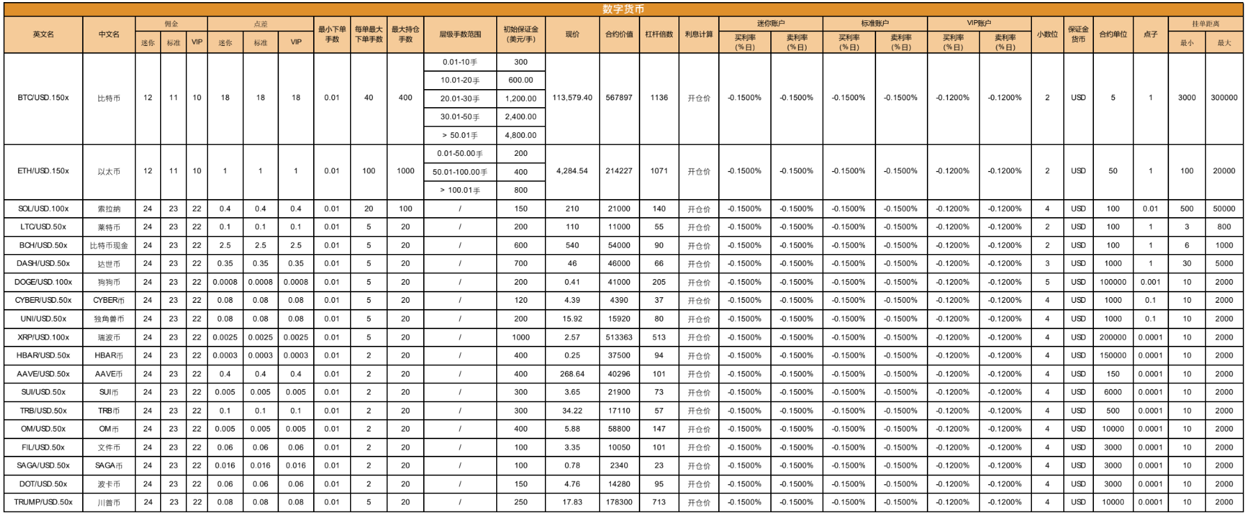
数字货币
数字货币
×
这是错误信息